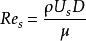
定義
粘性流體中表征作用力比值的無量綱數
物理意義
理解一
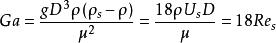
Ga[伽利略數]
Ga[伽利略數]其中
Ga[伽利略數]重力加速度
Ga[伽利略數]為流體密度
Ga[伽利略數]為流體動力粘滯係數
Ga[伽利略數]為特徵尺度。
Ga為表征重力作用和粘滯作用的對比關係
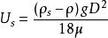
理解二
在研究流體中固相顆粒運動的問題時,伽利略數可以理解為
Ga[伽利略數]其中
Ga[伽利略數]表示流體密度
Ga[伽利略數]表示顆粒密度
Ga[伽利略數]表示顆粒粒徑
Ga[伽利略數]為顆粒在靜水中沉速
Ga[伽利略數]表示以顆粒沉速為特徵速度的雷諾數
![Ga[伽利略數] Ga[伽利略數]](/img/e/1d7/nBnauM3XwEDMwczMyMDM2ATN0UTMyITNykTO0EDMwAjMwUzLzAzL1EzLt92YucmbvRWdo5Cd0FmLyE2LvoDc0RHa.jpg)
